Antirutschmatten zur Ladungssicherung - Vorteile
Die Sicherheit von Personen, das Vermeiden von Schäden an Fahrzeug und Ladung sowie das Gewährleisten der allgemeinen Verkehrssicherheit – für die Sicherung der Ladung beim Transport gibt es viele Argumente. Trotz entsprechender gesetzlicher Regelungen (u.a. in der Straßenverkehrsordnung) kommt es immer noch zu mehreren tausend Unfällen im Jahr mit einer Schadenssumme in mehr als dreistelliger Millionenhöhe.

Welche Arten der Ladungssicherung gibt es?
Es gibt zwei alleinstehende Arten der Ladungssicherung sowie eine dritte, die eine Kombination darstellt:
Formschlüssige Ladungssicherung
(Lückenloses Verladen der Last oder Verwendung der Zurrtechnik des Direktzurrens.)
Kraftschlüssige Ladungssicherung
(Niederzurren der Ladung auf der Ladefläche des Fahrzeugs zur Erhöhung der Reibung.)
Kombinierte Ladungssicherung
(Eine Kombination der beiden möglichen Ladungssicherungsarten.)

Wie lange brauche ich zur Ladungssicherung?
Neben einem fehlendem Problembewusstsein spielt oft auch die knappe Zeit eine Rolle, denn die richtige Sicherung der Ladung entsprechend der zu berücksichtigenden ‚anerkannten Regeln der Technik‘, die in Deutschland durch die VDI 2700 definiert werden, nimmt bei sachgemäßer Durchführung und abhängig von der verwendeten Methode einfach eine gewisse Zeit in Anspruch.
Wie viel Zeit tatsächlich dabei benötigt wird, hängt stark von der Sicherungsmethode und den verwendeten Hilfsmitteln ab. Die einfachste Methode der formschlüssigen Ladungssicherung komplett ohne Staulücken oder auch durch Diagonalzurren bzw. Kopfschlingen kommt nur in Betracht, wenn der Fahrzeugaufbau ausreichend stabil ist und die entstehenden Kräfte aufnehmen kann. Ist eine formschlüssige Ladungssicherung nicht möglich oder allein nicht ausreichend, muss die Ladung (ggf. zusätzlich) durch Niederzurren gesichert werden. Dabei sind die auftretenden Kräfte zu berechnen und anhand dessen sind z.B. die Zahl der benötigten Zurrgurte zu ermitteln.
Zu berücksichtigen ist:
Welches Gewicht hat die Ladung?
Wie ist der Boden des Fahrzeugs beschaffen? Welchen Gleitreibbeiwert weist er auf?
Kommen ausschließlich Zurrgurte zum Einsatz?
Über welche Vorspannkräfte verfügen diese (Angabe des S TF-Wertes auf den Gurten)?
Sind zusätzlich Antirutschmatten im Einsatz?
Wie sind Waren und Güter zu sichern?
Unzureichende Ladungssicherung hat Konsequenzen. Es gibt Gesetze und Verordnungen, die genau beschreiben, was Ladungssicherung erfordert. Der § 22 der StVO bestimmt, dass Güter für den Transport so gesichert werden müssen, dass sie bei Ausweich- oder Bremsmanövern nicht rollen, umfallen oder verrutschen können.
„(1) Die Ladung einschließlich Geräte zur Ladungssicherung sowie Ladeeinrichtungen sind so zu verstauen und zu sichern, dass sie selbst bei Vollbremsung oder plötzlicher Ausweichbewegung nicht verrutschen, umfallen, hin- und herrollen, herabfallen oder vermeidbaren Lärm erzeugen können. Dabei sind die anerkannten Regeln der Technik zu beachten.“
Für die Sicherheit sind der Fahrer, Verlader oder Betreiber des Fahrzeugs verantwortlich. Alle Beteiligten können bei Verstößen gegen bestehende Vorschriften mit einem Bußgeld oder Punkten belegt werden. Im Falle eines Personenschadens können auch Freiheitsstrafen verhängt werden.
Der Vorteil von Antirutschmatten bei der Ladungssicherung
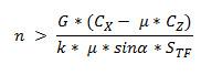
Durch den Einsatz von Antirutschmatten kann die Zahl der benötigten Vorspannkraft und damit die Zahl der einzusetzenden Zurrgurte deutlich verringert werden, denn die Matten erhöhen den Gleitreibbeiwert.
Beispielrechnung: Ladungsgewicht G = 7500 kg Gleitreibbeiwert μ = 0,2 (glatter Boden) bzw. 0,6 (mit Antirutschmatten) Beiwert k = 1,5 Vorspannkraft S TF= 500 daN Zurrwinkel α(°) = 83

Bei einem Gleitreibbeiwert des Bodens von 0,2 ergeben sich hier über 22.000 daN an benötigten Vorspannkräften, so dass mindestens 30 Zurrgurte nötig wären, um die Ladung zu sichern. Bei einem durch den Einsatz von Antirutschmatten erhöhten Gleitreibbeiwert von 0,6 werden nur noch gut 2.400 daN an Vorspannkräften benötigt. Die Zahl der mindestens einzusetzenden Zurrgurte reduziert sich dadurch auf 4.
Die erhebliche Reduzierung der Vorspannkräfte durch den Einsatz von Antirutschmatten macht sich dann beim Verladen und Sichern auch als Zeitersparnis deutlich bemerkbar, denn das Auslegen von Antirutschbelägen geht sehr viel schneller als das Vorspannen der Zurrgurte. Diese Zeitersparnis geht nicht nur mit einer Kostenreduzierung einher, sondern wirkt sich auch positiv auf die Akzeptanz der ladungssichernden Maßnahmen z.B. beim Fahrer aus.